(Via)
(Josep Pla)
Adéu a Nihil Obstat | Hola a The Catalan Analyst
Després de 13 anys d'escriure en aquest bloc pràcticament sense interrumpció, avui el dono per clausurat. Això no vol dir que m'hagi jubilat de la xarxa, sinó que he passat el relleu a un altra bloc que segueix la mateixa línia del Nihil Obstat. Es tracta del bloc The Catalan Analyst i del compte de Twitter del mateix nom: @CatalanAnalyst Us recomano que els seguiu.Moltes gràcies a tots per haver-me seguit amb tanta fidelitat durant tots aquests anys.
dimarts, 31 de maig del 2011
Democràcia només n'hi ha una i a tu et vaig trobar al carrer
Els "indignats" no són la materialització del malestar social provocat per la crisi econòmica sinó una nova edició dels moviments oportunistes que, de tant en tant i aprofitant una conjuntura crítica, promou o capitalitza l'esquerra més radical i residual. Només cal veure el que fan, escoltar el que diuen i llegir el que publiquen per comprovar que es tracta d'un moviment pre-democràtic en l'acció i anti-democràtic en la concepció.
El moviment dels "indignats" és pre-democràtic perquè l'ocupació d'espais publics, ja siguin places o vies de comunicació, són formes de manifestació política pròpies d'un contex de falta de llibertats, on cal jugar-se la pell per arribar a la resta de ciutadans ja que no hi ha oposició legal que vehiculi les reivindicacions socials ni premsa lliure que les difongui. És un llegat de l'antifranquisme, 'ideologia' que perviu tot i la mort del dictador, ja que en un estat democràtic i de Dret l'ocupació unilateral de l'espai públic no té cap mena de justificació. Els espais públics són de tothom i ningú pot monopolitzar-los en exclusiva. Ningú té dret a ocupar-los indefinidament per més justes que li semblin les seves queixes i reivindicacions. En una societat democràtica ningú pot defensar els seus drets legítims vulnerant, poc o molt, els drets dels altres.
A més de pre-democràtic, el moviment dels "indignats" és també anti-democràtic. En primer lloc, per atribuir-se la representació del poble sense que ningú no els hagi elegit. Pijtor encara, per la pretensió no ja d'encarnar el poble sinó de SER el poble. El "poble" sobirà que fa el que li dona la gana, votant a mà alçada i ignorant la voluntat de totes les altres persones que no van a assemblees i que pensen diferent. Aquest mesianisme se sustenta en un pensament utòpic -i com a tal, totalitari- que intenta sumar les restes del romanticisme àcrata amb les deixalles del naufragi del racionalisme col·lectivista.
La prova més evident de la irrellevància dels "indignats" ha estat el resultat aclaparador de les eleccions municipals i autonòmiques del 22 de maig. El poble, el de veritat, el que altra feina té que anar d'acampada, el que vol resoldre els problemes i no crear-ne de nous, el que tradueix el seu emprenyament en acció política a través dels seu vot i no fent psicodrames a la plaça del poble, no ha votat més esquerra i més radical, com desitjaven els "indignats", sinó que ha fet tot el contrari. El poble, el de veritat i no el succedani, ha destituit tots els governs socialistes a pràcticament totes les grans ciutats i autonomies del país, inflingint-los la derrota electoral més gran de la seva història i donant el poder a forces liberal-conservadores amb una enfoc radicalment diferent sobre com sortir de la crisi.
Si els "indignats" fossin realment un moviment de protesta contra la crisi econòmica haurien anat a manifestar-se des del primer dia a La Moncloa. Haurien demanat el cap de Zapatero, com van fer els manifestants de Tuníssia i Egipte, amb els que tan equivocadament es comparen i se'ls compara.
L'actual problema d'Espanya no és un problema de sistema -tot i que aquest sigui manifestament millorable- sinó de mal govern. El problema de la crisi econòmica espanyola no és un problema de la banca nord-americana i les subprimes, que aquí pràcticament no van afectar, sinó una crisi d'endeutament públic i privat derivat de la bombolla immobiliària i d'unes polítiques governamentals equivocades que han generat enormes dèficits i més endeutament. I el principal responsable d'aquesta situació no és cap conspiració Lugano o Trilateral sinó el govern que durant els últims 7 anys ha dirigit Espanya: el govern socialdemòcrata d'un tal José Luís Rodríguez Zapatero.
Els ciutadans així ho han entès i han respòs amb una impecable maduresa democràtica. Han respòs a aquest mal govern anant a les urnes i no a les acampades. La resposta l'ha donada el poble a través de la democràcia i no de la seva caricatura. Perquè, amic "indignat", democràcia només n'hi ha una i a tu et vaig trobar al carrer.
El moviment dels "indignats" és pre-democràtic perquè l'ocupació d'espais publics, ja siguin places o vies de comunicació, són formes de manifestació política pròpies d'un contex de falta de llibertats, on cal jugar-se la pell per arribar a la resta de ciutadans ja que no hi ha oposició legal que vehiculi les reivindicacions socials ni premsa lliure que les difongui. És un llegat de l'antifranquisme, 'ideologia' que perviu tot i la mort del dictador, ja que en un estat democràtic i de Dret l'ocupació unilateral de l'espai públic no té cap mena de justificació. Els espais públics són de tothom i ningú pot monopolitzar-los en exclusiva. Ningú té dret a ocupar-los indefinidament per més justes que li semblin les seves queixes i reivindicacions. En una societat democràtica ningú pot defensar els seus drets legítims vulnerant, poc o molt, els drets dels altres.
A més de pre-democràtic, el moviment dels "indignats" és també anti-democràtic. En primer lloc, per atribuir-se la representació del poble sense que ningú no els hagi elegit. Pijtor encara, per la pretensió no ja d'encarnar el poble sinó de SER el poble. El "poble" sobirà que fa el que li dona la gana, votant a mà alçada i ignorant la voluntat de totes les altres persones que no van a assemblees i que pensen diferent. Aquest mesianisme se sustenta en un pensament utòpic -i com a tal, totalitari- que intenta sumar les restes del romanticisme àcrata amb les deixalles del naufragi del racionalisme col·lectivista.
La prova més evident de la irrellevància dels "indignats" ha estat el resultat aclaparador de les eleccions municipals i autonòmiques del 22 de maig. El poble, el de veritat, el que altra feina té que anar d'acampada, el que vol resoldre els problemes i no crear-ne de nous, el que tradueix el seu emprenyament en acció política a través dels seu vot i no fent psicodrames a la plaça del poble, no ha votat més esquerra i més radical, com desitjaven els "indignats", sinó que ha fet tot el contrari. El poble, el de veritat i no el succedani, ha destituit tots els governs socialistes a pràcticament totes les grans ciutats i autonomies del país, inflingint-los la derrota electoral més gran de la seva història i donant el poder a forces liberal-conservadores amb una enfoc radicalment diferent sobre com sortir de la crisi.
Si els "indignats" fossin realment un moviment de protesta contra la crisi econòmica haurien anat a manifestar-se des del primer dia a La Moncloa. Haurien demanat el cap de Zapatero, com van fer els manifestants de Tuníssia i Egipte, amb els que tan equivocadament es comparen i se'ls compara.
L'actual problema d'Espanya no és un problema de sistema -tot i que aquest sigui manifestament millorable- sinó de mal govern. El problema de la crisi econòmica espanyola no és un problema de la banca nord-americana i les subprimes, que aquí pràcticament no van afectar, sinó una crisi d'endeutament públic i privat derivat de la bombolla immobiliària i d'unes polítiques governamentals equivocades que han generat enormes dèficits i més endeutament. I el principal responsable d'aquesta situació no és cap conspiració Lugano o Trilateral sinó el govern que durant els últims 7 anys ha dirigit Espanya: el govern socialdemòcrata d'un tal José Luís Rodríguez Zapatero.
Els ciutadans així ho han entès i han respòs amb una impecable maduresa democràtica. Han respòs a aquest mal govern anant a les urnes i no a les acampades. La resposta l'ha donada el poble a través de la democràcia i no de la seva caricatura. Perquè, amic "indignat", democràcia només n'hi ha una i a tu et vaig trobar al carrer.
dijous, 26 de maig del 2011
Desitjos i realitats
Una enquesta publicada pel diari progre israelià Haaretz mostra que el 47 per cent dels israelians creuen que el viatge de Netanyahu als Estats Units va ser un èxit, mentre que només un 10% el consideren un fracàs. Gairebé la meitat de la població es va sentir "orgullosa" pel discurs de Netanyahu davant la sessió conjunta del Congrés nord-americà dimarts passat, mentre que només el 5 per cent l'ha considerat una "oportunitat perduda". La resta no va expressar cap opinió, mentre que el 20 per cent dels enquestats van dir que no havia vist el discurs.
Aquests resultats deixen en evidència el corresponsal del New York Times a Israel que ahir publicava un article afirmant que "Els israelians veuen el viatge de Netanyahu com un fracàs". Com diu l'amic Josep Miquel: "prensa de kalidá"
Aquests resultats deixen en evidència el corresponsal del New York Times a Israel que ahir publicava un article afirmant que "Els israelians veuen el viatge de Netanyahu com un fracàs". Com diu l'amic Josep Miquel: "prensa de kalidá"
La vida feliç del "fugitiu" Mladic
Mladic cantant i ballant. L'exgeneral destapant una ampolla, servint beguda i torrades als amics. Mladic posava per afotografies familiars i jugava llançant boles de neu. Com qualsevol avi, tenia el nét a la falda i jugava al ping-pong. Fins i tot plorava desconsoladament en un funeral. Tots aquests vídeos difosos per la televisió croata i bosniana, els publicava el New York Times l'11 de juny del 2009.
La normalitat de la vida de Mladic evidencia que estava protegit. Documents filtrats per Wikileaks confirmen les sospites que durant molts anys els dirigents nacionalistes serbis sabien "exactament" on era Mladic.
La normalitat de la vida de Mladic evidencia que estava protegit. Documents filtrats per Wikileaks confirmen les sospites que durant molts anys els dirigents nacionalistes serbis sabien "exactament" on era Mladic.
dimecres, 25 de maig del 2011
Si aquest error l'hagués comès Bush sortiria a cada telenotícies
L'anècdota -sense més transcendència que un error de protocol- ha estat poc difosa pels mitjans políticament correctes. Els mateixos mitjans que si hagués estat Bush el que hagués comès l'error ens l'estarien repetint sense parar.
El perquè d'aquests diferència de tracte és simple: l'error d'Obama és un error humà i es mereix la pressumpció d'innocència; l'error de Bush és l'error d'un garrulo, que es mereix ser escampat urbi et orbe.
El fracàs de les tres versions del socialisme al segle XX
Ignacio Sotelo:
El socialismo no tiene la menor posibilidad de sobrevivir, si no reconoce el fracaso de las tres versiones que ha puesto en marcha en el siglo XX. El modelo estatal colectivista de la revolución bolchevique naufragó a lo más tardar en 1990, dejando tan solo una pesadilla en la que se combina la ineficacia con el terror, pero 20 años antes ya había empezado a desmoronarse el modelo socialdemócrata keynesiano, que por la vía democrática aspiraba a lograr una sociedad en la que estuvieren garantizados la igualdad de oportunidades y un nivel de vida digno para todos. La crisis actual ha hundido la última versión “débil” de la socialdemocracia, la tercera vía británica, que en un mundo globalizado había aceptado el neoliberalismo como última expresión de la racionalidad económica, con la pretensión ilusoria de poder frenar el desmantelamiento del Estado social.
El desmoronamiento se explica por los cambios socioeconómicos que han dejado a las tres versiones del socialismo sin base social. La impotencia creciente del Estado -en España aún mayor por su desmembración interna- elimina no ya tan solo el modelo estatal colectivista, que muestra otros fallos de mucho mayor calado, sino también el socialdemócrata keynesiano, al que todavía se remiten flecos de una izquierda residual. El hecho fundamental de que el trabajo haya dejado de ser el eje central que articula la vida de amplias capas sociales ha significado un golpe definitivo a la socialdemocracia, incluso en su última versión débil
diumenge, 22 de maig del 2011
dissabte, 21 de maig del 2011
Són del PSOE
Jordi Barbeta:
... no deberían preocuparse tanto los socialistas, puesto que los jóvenes de la Puerta del Sol son l'avanzadilla del PSOE del futuro. Salvando las distancias, buena parte de los líderes del mayo del 68 han acabado integrados en el establihsment político de la izquierda francesa. Es natural, porque la función social primordial de la izquierda es dar credibilidad al sistema a base de alimentar la esperanza de la gente. Zapatero levantó tantas expectativas que la caída ha dejado al PSOE sin utopía, pero la gente de la Puerta del Sol se la proporcionará.
...o més exactament, SOLecistas
El Solecismo ha sido una creación de los medios, y el periódico, en especial en su web noticiosa, ha dado a la acampada un eco insólito, donde no ha sobrado el rigor. La explicación de una actitud semejante es diversa; pero sobresale la presunta confluencia del movimiento con las nuevas tecnologías, la modernidad y la juventud, que son tres imbatibles complejos para los acomplejados. Y para el complejo principal, que es el de envejecer. Por si fuera poco está el negocio. Los medios viven bajo la amenaza de que las redes sociales, por así llamarlas, les quiten el pan de cada día. Aún no han percibido que, sin medios, de las redes sociales sólo quedan los agujeros. El pasado fin de semana las convocatorias de los indignantes, con toda su enfática patulea de tuentis, no habían reunido más de cinco mil personas, bien contadas, en diversas ciudades españolas. Pero a partir del lunes todo cambió: una campaña electoral baja y absurda, la tentación imitativa (Tahrir de El Cairo, Perla de Manama, Reloj de Damasco: sólo soy capaz de escribir estas analogías tapándome la boca para no vomitar, hoy por ejemplo, después de que hayan matado a cuarenta y cuatro personas en Siria) y el vicioso fulgor de la novedad llevaron el Solecismo a la portada de los dos principales digitales españoles. Y ya no ha salido de allí, relegando la anodina información partidista a los escalones inferiores. Es sangrante que el año en que la Junta Electoral ha impuesto cuotas grotescas de tratamiento informativo, los periódicos hayan dedicado su máxima cobertura a un movimiento minoritario, excéntrico y fiestero. Sangrante, pero periodístico: el oficio siempre se mueve en el ácido filo de lo interesante y lo importante.
Por supuesto que los tuentis tratarán de convencernos en los pr
divendres, 20 de maig del 2011
Imprescindible
El corresponsal d'El Mundo a París ha trobat a la xarxa un vídeo d'un 'sketch' humorístic emès el febrer del 2009 per France Inter, minuts abans d'una entrevista amb Dominique Strauss-Kahn amb motiu de la seva elecció com a nou director-gerent del Fons Monetari Internacional. L'autor de l'sketch és Stéphane Guillon i el monòleg porta per títol: "Arriba DSK. Totes al refugi!". Al juny del 2010, Stéphane Guillon va ser acomiadat de Ràdio France. Alguns van veure en aquesta decisió la llarga mà de Strauss-Kahn. Resulta obvi que una paròdia com aquesta només era possible perquè tothom a França estava al corrent de les "matxades" del Dominique. Tot i això, el 57% dels francesos creuen ara que ha estat víctima d'una conspiració.
Obama trenca amb dècades de diplomàcia nord-americana al Pròxim Orient
Si hi ha un concepte angular per entendre la política d'Israel i el conflicte àrabo-israelià aquest és: seguretat, i més concretament "seguretat defensable". Es podrà considerar que l'obsessió israeliana per la seguretat és exagerada i que el poble jueu està ara més segur que mai a la seva història dins les fronteres del seu estat. Certament, els jueus estan més segurs a Israel que a l'Alemanya nazi. Però la major o menor seguretat que tenen ara se l'han guanyada a pols, lluitant contra unes amenaces que mai no han desaparegut i que els han fet aprendre amargament que no poden baixar la guàrdia.
La "mania" per la seguretat no és el fruit de cap neurosi freudiana, sinó de l'experiència històrica del poble jueu. Raça maleïda a l'haver-los considerat responsables de la mort de Crist, perennes caps de turc dels poders terrenals i espirituals, víctimes recurrents de tota mena de "pogroms" i candidats a l'extermini total a l'Holocaust nazi, el poble jueu va veure la salvació en l'obtenció d'un estat propi. Un estat creat en una històrica votació del Consell de Seguretat de les Nacions Unides, en la més estricta legalitat internacional.
Però el nou Estat no va garantir als jueus la desitjada seguretat perquè els estats àrabs no van volen acceptar la seva existència. Des del 1948 fins al 1993, quan es firmen els acords de pau d'Oslo amb els palestins, Israel lliura 5 guerres contra els àrabs, la majoria començades o incitades pels seus enemics. En tots aquests conflictes, Israel comprova la seva vulnerabilitat geogràfica, delimitada pels acords de partició. Aquesta vulnerabilitat, difícil de percebre amb paraules, és molt fàcil de comprobar quan es visita Israel. Si descomptem la zona desèrtica del Neguev, Israel s'estén en una estreta franja entre el mar i el riu Jordà amb prou feines supera les 70 milles, els 112 km, en el seu punt més estret, totalment a l'abast de qualsevol bombardeig, per més rudimentari que sigui.
Aquesta vulnerabilitat manifesta va empènyer Israel, al comprovar que l'obstinació àrab contra Israel no desapareixeria fàcilment, a dotar-se d'un coixí territorial de seguretat que permetés una defensa efectiva d'Israel. Un coixí que només abandonarà si hi ha unes garanties absolutes de seguretat, pau i bon veïnatge amb els palestins i els països àrabs.
És per això que Israel, quan parla de fronteres, no parla tant de fronteres "segures" com de fronteres "defensables", posició que fins ara també compartien els EUA. I dic compartien perquè els Estats Units han deixat de fer-ho. Obama va anunciar ahir que les fronteres que han de delimitar l'actual estat jueu i el futur estat palestí hauran de ser, amb petites modificacions negociades, les anteriors a la guerra de 1967. La guerra que va fer palès que la seguretat real d'Israel només es podia garantir amb unes fronteres que els permetin defensar al seu territori.
Obama ha abandonat el concepte de fronteres "defensables" pel de fronteres simplement "segures", ignorant la història, abonant la posició palestina i desmarcant-se d'Israel. I això, en un moment en que l'acord entre Hamàs i Fatah, lluny de ser una esperança per a la pau, esdevé una nova amenaça per a Israel.
Obama, com els palestins, no perd mai l'oportunitat de perdre una oportunitat.
ADDENDA.- Per a una informació gràfica de la vulnerabilitat del territori israelià no deixeu de veure aquest vídeo.
La "mania" per la seguretat no és el fruit de cap neurosi freudiana, sinó de l'experiència històrica del poble jueu. Raça maleïda a l'haver-los considerat responsables de la mort de Crist, perennes caps de turc dels poders terrenals i espirituals, víctimes recurrents de tota mena de "pogroms" i candidats a l'extermini total a l'Holocaust nazi, el poble jueu va veure la salvació en l'obtenció d'un estat propi. Un estat creat en una històrica votació del Consell de Seguretat de les Nacions Unides, en la més estricta legalitat internacional.
Però el nou Estat no va garantir als jueus la desitjada seguretat perquè els estats àrabs no van volen acceptar la seva existència. Des del 1948 fins al 1993, quan es firmen els acords de pau d'Oslo amb els palestins, Israel lliura 5 guerres contra els àrabs, la majoria començades o incitades pels seus enemics. En tots aquests conflictes, Israel comprova la seva vulnerabilitat geogràfica, delimitada pels acords de partició. Aquesta vulnerabilitat, difícil de percebre amb paraules, és molt fàcil de comprobar quan es visita Israel. Si descomptem la zona desèrtica del Neguev, Israel s'estén en una estreta franja entre el mar i el riu Jordà amb prou feines supera les 70 milles, els 112 km, en el seu punt més estret, totalment a l'abast de qualsevol bombardeig, per més rudimentari que sigui.
Aquesta vulnerabilitat manifesta va empènyer Israel, al comprovar que l'obstinació àrab contra Israel no desapareixeria fàcilment, a dotar-se d'un coixí territorial de seguretat que permetés una defensa efectiva d'Israel. Un coixí que només abandonarà si hi ha unes garanties absolutes de seguretat, pau i bon veïnatge amb els palestins i els països àrabs.
És per això que Israel, quan parla de fronteres, no parla tant de fronteres "segures" com de fronteres "defensables", posició que fins ara també compartien els EUA. I dic compartien perquè els Estats Units han deixat de fer-ho. Obama va anunciar ahir que les fronteres que han de delimitar l'actual estat jueu i el futur estat palestí hauran de ser, amb petites modificacions negociades, les anteriors a la guerra de 1967. La guerra que va fer palès que la seguretat real d'Israel només es podia garantir amb unes fronteres que els permetin defensar al seu territori.
Obama ha abandonat el concepte de fronteres "defensables" pel de fronteres simplement "segures", ignorant la història, abonant la posició palestina i desmarcant-se d'Israel. I això, en un moment en que l'acord entre Hamàs i Fatah, lluny de ser una esperança per a la pau, esdevé una nova amenaça per a Israel.
Obama, com els palestins, no perd mai l'oportunitat de perdre una oportunitat.
ADDENDA.- Per a una informació gràfica de la vulnerabilitat del territori israelià no deixeu de veure aquest vídeo.
Sense novetats
Arcadi Espada:
Sólo allí, entre la graciosa solemnidad de la adolescencia, se comprende hasta qué punto el ennoblecimiento de la sórdida realidad es una de las principales, y más inadvertidas, funciones de los medios. La única conclusión razonable de la asamblea de Sol es que la juventud debería derogarse. Pero, obviamente, eso no aparece en los medios. Entre otras razones porque la juventud, tan llena de defectos, tiene la inmensa virtud de ser muy fotogénica. Y aun otra virtud, muy periodística, tiene: la bendita providencia de que todas sus ideas quepan holgadamente en 140 caracteres.
dijous, 19 de maig del 2011
Vet aquí la Spanish Revolution
Quim Monzó:
Fa dos dies, un diari madrileny publicava un reportatge amb el titular Cap a on va la #spanishrevolution? Vaig contemplar el hashtag i de seguida vaig tenir clara la resposta: la Spanish Revolution no va gaire enlloc. Per començar, perquè, més que no pas una revolució, de moment és una acampada. Fer acampades està molt bé, però una revolució és tota una altra cosa. Expliquen els diaris que, diumenge, 150.000 persones es van manifestar a Espanya. Si, tal com diu el cens, hi ha 47.021.031 ciutadans, la xifra de manifestants (150.000) suposa només el 0,037 per cent de la població. Dubto que amb un 0,037 per cent es faci mai cap revolució.
Més que en un canvi dràstic de les institucions polítiques i socials i de les estructures econòmiques, aquesta presumpta revolució espanyola que n'enarbora el nom en anglès - Spanish Revolution - fa pensar més aviat en els enrotllats que van al restaurant a menjar noodles perquè, dient-ne noodles , dels fideus, es pensen que són supercosmopolites. Necessitats d'una causa per la qual lluitar, els campistes es veuen com a revolucionaris, sense adonar-se que el mateix nom en anglès denota submissió a tot un sistema de valors; no sols lingüístics. No seré jo qui defensi els polítics amb poltrona, que en general em fan venir ganes de perbocar. Que els campistes diguin que lluiten contra el bipartidisme queda ben bufó, però per a això hi ha les urnes: per votar altres partits que no siguin els dos que remenen les cireres. La torrada mental que els campistes exhibeixen és tan grossa que és difícil saber què volen. Que, diumenge que ve, la gent no vagi a votar? Executar González Sinde? Enterrar el capitalisme? Molt bé, però per posar-hi què? I, quan parlen d'acabar amb la partitocràcia, què demanen exactament? Que no hi hagi partits? Malament, perquè quan no hi ha partits és que hi ha un partit únic.
Paraula de dona
Arcadi Espada:
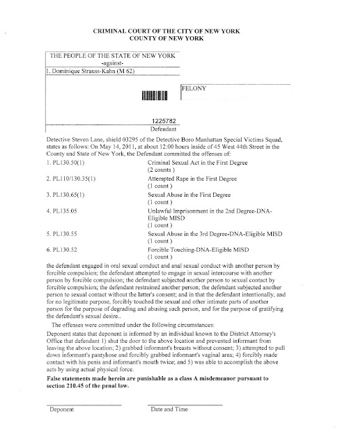
Después de una larga lucha periodística, política y jurídica han conseguido que, en la mayoría de delitos sexuales, baste la palabra de la mujer. No solo para fundamentar una opinión, sino para legalizar una sentencia. Su presión ha tenido una doble cara: ha permitido castigar a los culpables, pero también ha arruinado la vida de algunos inocentes. No es hora de evaluarla. Es hora de decirles a esas mujeres, de París o de Madrid, que en la habitación del Sofitel tambien ellas, y no solo DSK como parece, dejaron muestras envilecedoras de su verdadero ADN.
dimecres, 18 de maig del 2011
DSK ha fet un FMI a la mida de les seves ambicions
Oblidem-nos de la situació personal de DSK i fixem-nos en el que ha fet al capdavant de l'FMI. En general, se l'ha elogiat per haver revitalitzat la institució i haver-la col.locat en el cor de la crisi financera mundial des del 2008. Aquest activisme, que ha servit a la seva notorietat personal, contrasta amb la discreció dels seus predecessors en el càrrec, especialment de Michel Camdessus i Jacques de Larosière. Gent que va reorientar l'FMI de la seva antiga funció com a creditor d'estats a punt de la fallida cap a una nova tasca de consell i assessorament als governs. Abans de DSK, l'FMI havia deixat de ser el bomber encarregat de l'extinció d'incendis i de prestar diners generalment a fons perdut: inspirant-se en les teories monetaristes, els economistes de l'FMI havien anat convencent de mica en mica els líders dels països pobres de gestionar millor les seves finances, especialment a través de la creació de bancs centrals independents. El creixement dels països pobres, inclosa l'Àfrica, en la dècada de 1990, deu molt a aquells bons consells que van aconseguir pràcticament fer desaparèixer la hiperinflació del nostre planeta. Després de ser qüestionat pel seu paper de prestador d'última instància a caps d'estat i de govern poc fiables (Borís Ieltsin, Mubarak), l'FMI s'havia guanyat l'estima general en aquest nou paper d'assessor. Per desesperació, però, d'un gran nombre de funcionaris del FMI, gairebé deu mil, privats d'utilitat real. Kenneth Rogoff, que va ser economista en cap del FMI, abans de l'era DSK, estima que l'organització, en realitat, només té necessitat, com a molt, d'uns tres-cents economistes.
DSK, pel contrari, va optar per tornar al passat. D'aquesta manera es guanya l'afecte dels funcionaris al restaurar l'FMI com una gran burocràcia internacional. Amb crisi o sense, és un polític abans que res. La crisi va ser un regal del cel que DSK ha aprofitat per intentar posicionar l'FMI com a govern econòmic mundial. Bloquejat pels nord-americans, els xinesos i els alemanys, no va tenir èxit, però gràcies a una gran activitat de lobbying obté un augment dels seus recursos financers. Amb DSK, l'FMI prospera. A benefici de qui? De la institució i del seu Director Gerent. Pero ajudarà això a resoldre, o a limitar, la crisi financera global? DSK hauria volgut repartir diners a tots els països amb dificultats: amb l'excepció dels països petits com Hongria, el G8 i el G20 ho van rebutjar. Els governs van recordar oportunament que els crèdits de l'FMI poques vegades són reemborsats i que sovint perpetuen els vicis i les causes de la fallida.
Davant la impossibilitat de prestar directament, DSK ha encoratjat els governs i bancs centrals a ajudar els països mal administrats, Grècia en particular. Però l'FMI sabia des de fa anys que els comptes grecs estaven falsejats: inflar els Estats tramposos amb préstecs favorables, aquesta va ser la política del FMI a la dècada de 1980, a la que ara curiosament DSK volia tornar. És cert que l'FMI va endurir les condicions (i les endureix encara) dels seus préstecs, però aquestes condicions mai es respectaven (llevat del cas de governs seriosos com els de Corea del Sud i Turquia) i l'FMI no tenia cap manera d'imposar-se
En resum, s'entén com la gestió de l'FMI per DSK servia a DSK i la seva burocràcia: no es veu per enlloc que la seva gestió conduís cap a un règim financer mundial més racional. DSK mai es va atrevir a fer front a la manipulació del Yuan pel govern xinès, tot i tractar-se d'un factor essencial dels desequilibris mundials.
Si Milton Friedman estigués encara amb nosaltres, recordaria, com ja ho va fer en els anys 1970, que l'FMI va ser creat el 1945 per evitar les devaluacions competitives dels anys 1930: gairebé un segle després, aquest problema ja no existeix i l'FMI és sobretot una burocràcia a la recerca desesperada d'una missió. Després de DSK, dubtem que el FMI sigui reduït als tres-cents economistes desitjats per Rogoff, però esperem que aquesta granota deixi d'inflar-se d'una vegada.
Guy Sorman (text original en francès)
Assange, l'abusador (post recuperat)
El New Statesman ha obtingut una còpia de la mordassa jurídica que ha imposat Julian Assange als treballadors de Wikileaks. Anomenada “pacte de confidencialitat (pdf)”, preveu multes de 20 milions de dòlars (més de 14 milions d'euros) tant per "la pèrdua d'oportunitat de vendre la informació a les emissores de notícies i editorials" com per la "pèrdua de valor de la informació." Assange, el mite dels progres més progres del món, no és res més que un mercader d'informació confidencial que la ven al millor postor. Suposo que a partir d'ara el denunciaran per ser un “capitalista salvatge”, no?
dimarts, 17 de maig del 2011
De la incontinència a la repressió
La presidenta de la Federació de Dones Progressistes, Yolanda Besteiro, ha recordat avui que en l'acusació contra el director de l'FMI, Dominique Strauss-Kahn, per un delicte sexual "regeix la presumpció d'innocència, igual que per a tot el món" i ha rebutjat les crítiques de la presidenta de la Comunitat de Madrid, Esperanza Aguirre, que ha denunciat que s’està defensant Strauss-Kahn "per ser socialista" i s'ha preguntat on éren les feministes en aquest cas.La prudència de les declaracions de Besteiro contrasten amb les que va fer, ara fa tres mesos, respecte el primer ministre italià, Sílvio Berlusconi. Aleshores, la presidenta de les dones progressistes va declarar sense prudència ni pressumpció que "el que fa Berlusconi és un atac a la dignitat de totes les dones, ja que amb els seus comportaments ens redueix a la consideració d'objectes de luxe". Besteiro va afegir que Berlusconi “fa temps ja que va passar la línia vermella" i va qualificar d’"intolerable" la seva actitud, que "suposa un retrocés en la lluita per la igualtat de tants homes i dones".
Què no hauria de dir ara amb l'agressió violenta i criminal d'Strauss-Kahn! Llàstima que una sobrevinguda preocupació per la pressumpció d'innocència l'hagi obligat a reprimir-se.
De la palla de Berlusconi a la viga d'Strauss-Kahn
L'esquerra, que sempre s'ha cregut moralment superior a la dreta, s'ha fet l'escandalitzada i ha posat el crit al cel per les festasses del putero Berlusconi. Ha montat un culebrot inexhaurible per mostrar, ampliada amb objectiu mediàtic, la palla a l'ull del líder de la dretassa. I ara es topa amb la viga. La viga incontinent i violenta del socialdemòcrata Strauss-Khan. Impossible! O no era d'esquerres o hi ha conspiració! Pura paranoia.
Arcadi Espada:
Arcadi Espada:
En la habitación del Sofitel se ve a un hombre que se abalanza sobre una mujer, abusando de su fuerza. Y más de cerca se observa a un poderoso del mundo que intenta violar a la criada negra que ha ido a limpiarle la habitación. La izquierda no es nada si no puede demostrar que ese tipo de hombres votan a la derecha. Hay otro modo de interpretar la actitud de Strauss-Kahn. Un modo que no tiene al despotismo, la adrenalina y la vocación de riesgo del poderoso como explicación, sino que lo considera una víctima de su biología, capaz de llegar a una agresión (y a una autoagresión) de semejantes características. Pero la hipótesis es igualmente demoledora: tendría que reconocer la izquierda que la naturaleza humana dicta su palabra por encima de la cultura. Es decir, que en cierto modo… ¡todos los seres humanos son iguales!
Asunto terrible.
dilluns, 16 de maig del 2011
A què espera Obama?
Aquest matí han descobert una fossa comuna a Dara, epicentre de les revoltes a Síria, però les autoritats hi han tancat els accesos i han prohibit el lliurament dels cadàvers a les seves famílies.
Solucionar la crisi creant-ne una altra
Entrevista a Xavier Sala i Martín:
"Los problemas que atraviesa España son fruto de soluciones equivocadas que se tomaron cuando empezó la crisis."
...
"Si no arreglas el problema con los gobiernos de Grecia, Irlanda, Portugal y España, quien pringará será el sector bancario, y por tanto el conjunto de la economía europea."
...
"La salida [de Grecia] del euro tampoco aportaría nada. Quizás en un primer momento se podría hacer un «corralito», devaluar el dracma, automáticamente la deuda sería más pequeña, pero eso es lo mismo que no pagar. No es solución"
...
El Banco Central Europeo (BCE) tiene la máquina de hacer euros, como los americanos tienen la de hacer dólares, y, como ellos, la han puesto a funcionar. Imprimir dinero para salvar la situación. (...) Estamos creando una espiral inflacionaria que dentro de cinco años para bajarla será necesario provocar otra crisis."
Una estafa anomenada Freud
Juan José R. Calaza:
Mira que en vaig perdre d'hores empassant-me la teoria psicoanalítica, entre altres teories fantàstiques que volien canviar la història i la humanitat sencera!
Científicamente, el psicoanálisis es una estafa teórica y práctica. Freud rehabilitó el inmaterialismo del inconsciente contra el materialismo neuronal. Y ahí, no es para menos, con el advenimiento de las neurociencias se le vino abajo todo el tinglado.
(...)
Aportando dinamita a la empresa de demolición sistemática del pensamiento mágico freudiano, de París llega a España un libro de Michel Onfray (“Le crépuscule d’une idole”). No es lo mejor que se ha escrito al respecto –yo prefiero, de la escuela francesa, “Le livre noir de la psychanalise”, de C.Meyer, o “Mensonges freudiens” de J. Bénesteau– pero entierra un clavo más en el ataúd del que espero no vuelva a salir la enorme y dañina mentira que es el psicoanálisis. En la actualidad esta teoría no encuentra prácticamente defensores en el seno de la comunidad científica. Ni la sicología experimental, ni las neurociencias, ni las ciencias cognitivas avalan las pretensiones de Freud.
Freud rechazaba la prioridad fisiológica y biológica de las enfermedades mentales estableciendo una manipulada etiología de patologías que pretendía surgidas del laberinto de un dispositivo síquico cuya existencia –sin demostración alguna– remitía a postulados. Sobra decir que si los fundamentos epistémicos del psicoanálisis no pueden adscribirse al campo de las ciencias naturales entonces su pretendida racionalidad degenera en simple actividad de gurús atentos al control de almas y conciencias. A falta de fundamento científico, la indefensión del paciente se manifiesta en una sumisión de esclavo a amo que permite al psicoanalista explotarlo espiritualmente cuando no ideológicamente, sexualmente o económicamente.
Onfray barre el falso lugar común, ampliamente propalado por hagiógrafos y biógrafos, del Freud naturalista científico, liberal y demócrata. Por muchos injertos con los que hayan intentado adornarlo ex-post el freudismo pertenece a la corriente antifilosófica del conservadurismo papanatas. La leyenda ha hecho de Freud un filósofo racionalista pero la verdad es que creía a pie juntillas en la numerología, la telepatía y el simbolismo. Para mayor inri, el conservadurismo de Freud no era solamente de carácter científico. El 26 de abril de 1933 dedicó un libro a Mussolini con estas palabras: “A Benito Mussolini, con respetuosos saludos de este hombre añoso que reconoce en el dirigente un héroe de la cultura”. Aunque, las cosa como son, Onfray se quedó corto a la vista de lo que nos dice Paul Weindling (“Health, Race, and German Politics between National Unification and Nazism”) respecto a la defensa del eugenismo que Freud tuvo a gala. En 1911 firmó una petición internacional que preconizaba “la selección en la reproducción de la especie para favorecer la evolución de la humanidad hacia un perfeccionamiento físico y psíquico de la raza”. Ahí queda eso
Mira que en vaig perdre d'hores empassant-me la teoria psicoanalítica, entre altres teories fantàstiques que volien canviar la història i la humanitat sencera!
divendres, 13 de maig del 2011
La corrupció del relativisme moral
Un jutge d'Hamburg ha denunciat la cancellera alemanya Angela Merkel per "donar suport a un delicte" quan va dir públicament que s'alegrava de la mort del terrorista Ossama bin Laden. Una última enquesta mostra que la majoria d'alemanys no creuen que la mort del terrorista sigui motiu de celebració. (Der Spiegel)
dijous, 12 de maig del 2011
Carrega't Bin Laden en un videojoc gratuït
L’editor de videojocs Kuma Games ha creat un joc gratuit que té per escenari l'assalt a la casa de Bin Laden a Abbottabad. Per jugar-hi, només cal descarregar-lo aquí.
Arcadi Espada:
Errandonea no tenía ninguna obligación jurídica de exhibir sus arrepentimientos ni de abjurar de su pasado. Hizo y pagó, hasta el último día.
Barack Obama porta dos anys i mig al capdavant dels Estats Units i tot just ara, quan només li resten 18 mesos de mandat, s'ha decidit a anunciar "una nova política" pel Pròxim Orient. Una anunci retòric destinat a la claca, entre altres raons perquè es molt difícil portar a la pràctica una "nova política" -i menys encara un canvi de doctrina- a aquestes alçades del mandat i quan hi ha seriosos dubtes que Obama, si no es capgira la situació econòmica, pugui guanyar la reelecció. No cal, doncs, tanta expectació per acabar parint un ratolí. Senyor President: ens hauriem conformat amb que hagués tingut, simplement, una política, i no la inexistent que ha mantingut fins ara.
Intentar viure del rèdit de la mort de Bin Laden és lògic i legítim, però no és una política. Des que Obama va arribar a la presidència, els Estats Units han estat al marge del món i d'una manera especial del Pròxim Orient, llevat dels bolos que va fer a la Universitat d'El Caire. L'anomenada primavera àrab li ha passat per alt i quan s'hi han ficat ho han fet tard i malament. Vergonyosament, la guerra de Líbia s'està gangrenant, quan amb un clara voluntat política ja s'hauria acabat. I encara és més vergonyosa la posició respecte a Síria, per no parlar sobre el conflicte israeliano-palestí.
Senyor President, si vol fer realment alguna cosa efectiva, el millor seria que enlloc d'anunciar "noves" polítiques recuperés l'agenda per a la democràcia dels seu antecesor en el càrrec i la desenvolupés d'acord amb la nova situació. Tindria el suport del Congrés i recuperaria la unitat bipartidista en la política exterior. Al cap i a la fi, la mort de Bin Laden no ha estat fruit de cap nova política sinó de la continuitat -encara que dissimulada- de la política antiterrorista iniciada després de l'11-S.
dimecres, 11 de maig del 2011
Egipte aixecarà les restriccions a la construcció d'Esglésies
El govern egipci ha anunciat que el termini d'un mes tindrà llesta una llei que aixecarà les restriccions per a la construcció d'esglésies i prohibirà les manifestacions al davant dels llocs de culte, després de la mort de 15 persones per l'atac d'extremistes musulmans contra dues esglésies cristianess coptes al Caire.
L'actual legislació religiosa egípcia, que data del període otomà, estableix que els cristians han d'obtenir un permís per construir una església, obligació que no tenen els musulmans per construir mesquites. Els cristians necessiten també d'autorització expressa per renovar i reparar els seus llocs de culte.
La decissió de donar el permís correspon habitualment als governadors, que solen consultar els serveis de seguretat sobre la possible reacció dels musulmans a la construcció d'una església al seu barri, ja que la seva construcció sovint provoca reaccions violentes per part dels musulmans.
La llei prohibirà també la utilització d'eslògans religiosos durant les campanyes electorals.
L'actual legislació religiosa egípcia, que data del període otomà, estableix que els cristians han d'obtenir un permís per construir una església, obligació que no tenen els musulmans per construir mesquites. Els cristians necessiten també d'autorització expressa per renovar i reparar els seus llocs de culte.
La decissió de donar el permís correspon habitualment als governadors, que solen consultar els serveis de seguretat sobre la possible reacció dels musulmans a la construcció d'una església al seu barri, ja que la seva construcció sovint provoca reaccions violentes per part dels musulmans.
La llei prohibirà també la utilització d'eslògans religiosos durant les campanyes electorals.
dimarts, 10 de maig del 2011
Per què Obama no guanyarà la reelecció el 2012
En un article publicat a Forbes, el professor Merrill Matthews explica les raons per les quals creu que Obama no serà reelegit president dels Estats Units per a un segon mandat. Entre totes elles en destaca les econòmiques, que sempre solen ser determinants en les eleccions nord-americanes.
Matthews explica que des de l'any 1940 cap president dels Estats Units ha estat reelegit amb un índex d'atur per sobre de 7.5 per cent. En l'actualitat és del 8,8 per cent. Però hi ha estats, com ara Califòrnia, Nevada, Michigan, Oregon i Florida, entre altres, que tenen un atur per sobre del 10 per cent. Aquests estats són essencials per a la reelecció d'Obama. Tot i que Califòrnia i Oregon difícilment canviaran de color polític, Michigan, Nevada i Florida podrien expressar el seu descontentament votant republicà. Tot i que l'economia probablement remuntarà en els propers 18 mesos, ho farà, segons les previsions, molt lentament. Això vol dir que milions de famílies en dificultats aniran a les urnes i votaran en conseqüència.
El preu dels carburants és també, segons Matthewss, un factor electoral important. En les últimes dècades hi ha hagut als Estats Units tres grans pujades del preu del petroli: a mitjans de la dècada de 1970, quan Gerald Ford era president; seguit per un repunt encara més gran quan Jimmy Carter va ocupar la Casa Blanca, i finalment a l'any 2008, quan el petroli va superar els 100 dòlars el barril entre gener i setembre, just abans de les eleccions presidencials. No cal dir que Gerald Ford va perdre la seva reelecció, igual que Jimmy Carter. Buish no podia perdre perquè ja no podia presentar-se a la relecció, però si que ho va fer el candidat republicà John McCain.
Per si tot això no fos poc en la percepció popular, l'astronòmic dèficit públic és un altra factor que treballa en contra de la reelecció d'Obama. Tot i queixar-se del dèficit heredat de la presidència Bush, Obama l'ha duplicat fins a 1,4 bilions de dòlars el 2009 i 1,29 bilions el 2010, segons dades de l'Oficina del Pressupost del Congrés (CBO), que preveu que pel 2011 el dèficit sigui d'1,43 bilions i d'1,16 bilions pel 2012.
Matthews explica que des de l'any 1940 cap president dels Estats Units ha estat reelegit amb un índex d'atur per sobre de 7.5 per cent. En l'actualitat és del 8,8 per cent. Però hi ha estats, com ara Califòrnia, Nevada, Michigan, Oregon i Florida, entre altres, que tenen un atur per sobre del 10 per cent. Aquests estats són essencials per a la reelecció d'Obama. Tot i que Califòrnia i Oregon difícilment canviaran de color polític, Michigan, Nevada i Florida podrien expressar el seu descontentament votant republicà. Tot i que l'economia probablement remuntarà en els propers 18 mesos, ho farà, segons les previsions, molt lentament. Això vol dir que milions de famílies en dificultats aniran a les urnes i votaran en conseqüència.
El preu dels carburants és també, segons Matthewss, un factor electoral important. En les últimes dècades hi ha hagut als Estats Units tres grans pujades del preu del petroli: a mitjans de la dècada de 1970, quan Gerald Ford era president; seguit per un repunt encara més gran quan Jimmy Carter va ocupar la Casa Blanca, i finalment a l'any 2008, quan el petroli va superar els 100 dòlars el barril entre gener i setembre, just abans de les eleccions presidencials. No cal dir que Gerald Ford va perdre la seva reelecció, igual que Jimmy Carter. Buish no podia perdre perquè ja no podia presentar-se a la relecció, però si que ho va fer el candidat republicà John McCain.
Per si tot això no fos poc en la percepció popular, l'astronòmic dèficit públic és un altra factor que treballa en contra de la reelecció d'Obama. Tot i queixar-se del dèficit heredat de la presidència Bush, Obama l'ha duplicat fins a 1,4 bilions de dòlars el 2009 i 1,29 bilions el 2010, segons dades de l'Oficina del Pressupost del Congrés (CBO), que preveu que pel 2011 el dèficit sigui d'1,43 bilions i d'1,16 bilions pel 2012.
Després d'examinar les enquestes i les promeses incomplertes (i que ja difícilment podrà complir), Matthews conclou que Obama no pot guanyar la reelecció.
Escuchar
Per què Grècia sortirà de l'euro
Mark Weisbrot:
SOMETIMES there is turmoil in the markets because a government threatens to do what is best for its citizens. This seemed to be the case in Europe last week, when the German magazine Der Spiegel reported that the Greek government was threatening to stop using the euro. The euro suffered its worst two-day plunge since December 2008.
Greek and European Union officials denied the report, but a threat by Greece to jettison the euro is long overdue, and it should be prepared to carry it out. As much as the move might cost Greece in the short term, it is very unlikely that such costs would be greater than the many years of recession, stagnation and high unemployment that the European authorities are offering.
The experience of Argentina at the end of 2001 is instructive. For more than three and a half years Argentina had suffered through one of the deepest recessions of the 20th century. Its peso was pegged to the dollar, which is similar to Greece having the euro as its national currency. The Argentines took loans from the International Monetary Fund, and cut spending as poverty and unemployment soared. It was all in vain as the recession deepened.
Then Argentina defaulted on its foreign debt and cut loose from the dollar. Most economists and the business press predicted that years of disaster would ensue. But the economy shrank for just one more quarter after the devaluation and default; it then grew 63 percent over the next six years. More than 11 million people, in a nation of 39 million, were pulled out of poverty.
Within three years Argentina was back to its pre-recession level of output, despite losing more than twice as much of its gross domestic product as Greece has lost in its current recession. By contrast, in Greece, even if things go well, the I.M.F. projects that the economy will take eight years to reach its pre-crisis G.D.P. But this is likely optimistic — the I.M.F. has repeatedly lowered its near-term growth projections for Greece since the crisis began.
The main reason for Argentina’s rapid recovery was that it was finally freed from adhering to fiscal and monetary policies that stifled growth. The same would be true for Greece if it were to drop the euro. Greece would also get a boost from the devaluation’s effect on the trade balance (as Argentina did for the first six months of recovery), since its exports would be more competitive, and imports would be more expensive.
Press reports have also warned of a sharp increase in Greek debt from devaluation if it were to leave the euro zone. But the fact is that Greece would not pay this debt, as Argentina did not pay two-thirds of its foreign debt after its devaluation and default.
Portugal just concluded an agreement with the I.M.F. that projects two more years of recession. No government should accept this kind of punishment. A responsible leader would point out to the European authorities that they have the money to support Greece with countercyclical policies (like fiscal stimulus), though they are choosing not to.
From a creditors’ point of view, which the European Union authorities have apparently adopted, a country that has accumulated too much debt must be punished, so as not to encourage “bad behavior.” But punishing an entire country for the past mistakes of some of its leaders, while morally satisfying to some, is hardly the basis for sound policy.
There is also the idea that Greece — as well as Ireland, Spain and Portugal — can recover by means of an “internal devaluation.” This means increasing unemployment so much that wages fall enough to make the country more internationally competitive. The social costs of such a move, however, are extremely high and it rarely if ever works. Unemployment has doubled in Greece (to 14.7 percent), more than doubled in Spain (to 20.7 percent) and more than tripled in Ireland (to 14.7 percent). But recovery is still elusive.
You can be sure that the European authorities would offer Greece a better deal under a credible threat of leaving the euro zone. In fact, there are indications that they may have already moved in response to last week’s threat.
But the bottom line is that Greece cannot afford to settle for any deal that does not allow it to grow and make its way out of the recession. Loans that require what economists call “pro-cyclical” policies — cutting spending and raising taxes in the face of recession — should be off the table. The attempt to shrink Greece’s way out has failed. If that’s all that the European authorities have to offer, then it is time for Greece, and perhaps others, to say goodbye to the euro.
Sobre la sentència de Bildu
Joaquín Leguina:
Y yo me pregunto: ¿qué interés tienen los socialistas (incluidos los vascos) en que los batasunos estén en los ayunta- mientos? Y por lo tanto, ¿qué ventaja va a sacar el PSOE de semejante engaño? ¿Acabar con el pacto antiterrorista y con la Ley de Partidos? ¿Poner en peligro al Gobierno vasco? ¿Enseñar el trasero en vísperas electorales ante una ciudadanía española que -en más del 80 por ciento- está en contra de la legalización de partidos próximos a ETA?
Por eso me resisto a creer en ese doble juego, pero he de admitir que en contra de mi resistencia juegan, al menos, dos factores: 1) la odiosa politización de la que han dado muestra no pocos magistrados del TC y muy claramente su presidente, Pascual Sala, y 2) el conocido zigzagueo con el que suele abordar Zapatero cualquier objetivo político, empeñado, al parecer, en demostrar que el camino más corto entre dos puntos nunca es la línea recta.
Mas, aunque ese engaño fuera cierto, me cuesta entender tanta estupidez. Claro que ya Hanna Arendt nos advirtió escribiendo: "La maldad es plana, carece de profundidad".
dilluns, 9 de maig del 2011
Obama, atrapat en els seus fantasmes
Tot i el respir que li ha donat a Obama l'èxit de l'operació contra Bin Laden, la política exterior de la seva administració continua absent de l'escenari mundial. L'estancament de la situació a Líbia, l'apatia davant la repressió a Síria, la inexistència d'un pla actiu de suport a la democràcia als països del nord d'Àfrica per evitar que la seva primavera esdevingui una tardor anticipada o la falta de resposta fàctica, més enllà d'algunes declaracions, a l'acord entre l'Autoritat Palestina i Hamàs, així ho testifiquen. Obama continua al marge, atenallat pels seus fantasmes.
Però el més preocupant no és la paràlisi sinó la incapacitat que sembla existir per superar-la. Quan l'administració Obama, davant d'un èxit indubtable com és la mort de Bin Laden, manifesta més dubtes, contradiccions i incerteses que unitat, coherència i convicció, és que alguna cosa falla en l'epicentre de les seves concepcions polítiques. Un epicentre buit, que no va gaire més enllà de fer el contrari de Bush.
Obama voldria exhibir la mort de Bin Laden com un èxit personal, però li molesta que sigui en gran part també l'èxit de la política que ell sempre ha criticat (derrocament de Saddam Hussein, Guantánamo...). El problema per Obama és que la seva crítica a Bush era una crítica cega, “ad hominem”, una crítica a la totalitat; i ara no pot acceptar res que se'n desprengui sense entrar en contradicció.
Resulta curiós observar com davant la reivindicació que fan sectors republicans de l'eficiència de les anomenades ”tècniques d'interrogatori millorades” la resposta de l'administració demòcrata sigui tan confusa. El mateix cap de la CIA, León Panetta, ha acceptat implícitament que aquestes tècniques van servir també per localitzar Bin Laden però es nega a dir-ho explícitament. Vostès creuen que si sabessin realment que aquestes tècniques “millorades” no han tingut res a veure amb la captura del cap d'Al Qaeda no ho haurien explotat?
Això demostra la desorientació i falta de solidesa del titular de la Casa Blanca i el seu equip. Perquè si hi ha un punt realment inacceptable en tota la política de Bush contra el terrorisme és precisament aquest: que les ”tècniques d'interrogatori millorades” hagin estat un eufemisme de tortura, encara que aquesta hagi estat aplicada d'una manera limitada i selectiva (una trentena dels milers de detinguts)..
Es pot reconèixer l'eficiència d'aquests mètodes d'interrogatori i no estar-hi d'acord. Aleshores, perquè tanta ambigüitat? O és que els demòcrates dubten del principi "la fi no justifica els mitjans" quan els mitjans són efectius? O és, potser, que no tenen clar si les "tècniques d'interrogatori millorades" eren alguna cosa més que un maltractament o alguna cosa menys que una tortura? O és, en última instància, que aquesta ambigüitat els serveix de coartada per justificar la seva decissió de tornar als "assassinats selectius"?
El "submarí", no; però matar, sí. Obama continua atrapat pels seus fantasmes.
Però el més preocupant no és la paràlisi sinó la incapacitat que sembla existir per superar-la. Quan l'administració Obama, davant d'un èxit indubtable com és la mort de Bin Laden, manifesta més dubtes, contradiccions i incerteses que unitat, coherència i convicció, és que alguna cosa falla en l'epicentre de les seves concepcions polítiques. Un epicentre buit, que no va gaire més enllà de fer el contrari de Bush.
Obama voldria exhibir la mort de Bin Laden com un èxit personal, però li molesta que sigui en gran part també l'èxit de la política que ell sempre ha criticat (derrocament de Saddam Hussein, Guantánamo...). El problema per Obama és que la seva crítica a Bush era una crítica cega, “ad hominem”, una crítica a la totalitat; i ara no pot acceptar res que se'n desprengui sense entrar en contradicció.
Resulta curiós observar com davant la reivindicació que fan sectors republicans de l'eficiència de les anomenades ”tècniques d'interrogatori millorades” la resposta de l'administració demòcrata sigui tan confusa. El mateix cap de la CIA, León Panetta, ha acceptat implícitament que aquestes tècniques van servir també per localitzar Bin Laden però es nega a dir-ho explícitament. Vostès creuen que si sabessin realment que aquestes tècniques “millorades” no han tingut res a veure amb la captura del cap d'Al Qaeda no ho haurien explotat?
Això demostra la desorientació i falta de solidesa del titular de la Casa Blanca i el seu equip. Perquè si hi ha un punt realment inacceptable en tota la política de Bush contra el terrorisme és precisament aquest: que les ”tècniques d'interrogatori millorades” hagin estat un eufemisme de tortura, encara que aquesta hagi estat aplicada d'una manera limitada i selectiva (una trentena dels milers de detinguts)..
Es pot reconèixer l'eficiència d'aquests mètodes d'interrogatori i no estar-hi d'acord. Aleshores, perquè tanta ambigüitat? O és que els demòcrates dubten del principi "la fi no justifica els mitjans" quan els mitjans són efectius? O és, potser, que no tenen clar si les "tècniques d'interrogatori millorades" eren alguna cosa més que un maltractament o alguna cosa menys que una tortura? O és, en última instància, que aquesta ambigüitat els serveix de coartada per justificar la seva decissió de tornar als "assassinats selectius"?
El "submarí", no; però matar, sí. Obama continua atrapat pels seus fantasmes.
dissabte, 7 de maig del 2011
divendres, 6 de maig del 2011
La crisi de l'euro
Der Spiegel informa que Grècia està considerant retirar-se de l'euro i que els ministres de finances de la UE es reuniran en secret aquesta nit per estudiar la situació.
ACTUALITZACIÓ 1
Le gouvernement grec dément catégoriquement tout projet de sortie de l'euro.
ACTUALITZACIÓ 2
ACTUALITZACIÓ 1
Le gouvernement grec dément catégoriquement tout projet de sortie de l'euro.
ACTUALITZACIÓ 2
Com haurien cobert la mort de Hitler els mitjans que han cobert la mort de Bin Laden
Richard Littlejohn:
Aquest és el Servei de la BBC de l'1 maig del 1945. La confusió segueix envoltant els últims moments d'Adolf Hitler, que va morir ahir en el seu búnquer a Berlín. Increiblement, l'home més buscat del món vivia al cor de la capital del III Reich, a la vista de milions d'alemanys que asseguren que no eren partidaris dels nazis i que desconeixien els crims contra la humanitat del Fuhrer. Les primeres informacions suggereixen que Hitler ha mort d'un tret al cap quan les forces especials de l'Exèrcit Roig van irrompre a l'edifici. També diuen que va agafar la seva amant de molts anys Eva Braun, amb qui s'havia casat en una cerimònia secreta, utilitzant-la com escut humà.
Declaracions posteriors del Comandament Suprem Aliat indiquen que el Fuhrer podria haver ingerit un verí abans de suicidar-se amb un tret entre els ulls. Els informes contradictoris s'atribuiexen a la "boira de la guerra". El cos de Hitler ha estat cremat al jardí de la Cancelleria del Reich, però els aliats es neguen a publicar les fotos perquè són "massa horribles". Les tropes russes van filmar el cadàver, però es tem que la seva publicació pogués encendre el "carrer", ferint la sensibilitat nazi i donant lloc a atacs de represàlia. (...)
El primer ministre Mr. Churchill està convençut que era Hitler. (...) Els aliats diuen que les despulles de Hitler s'han acomiadat d'acord amb la pràctica cristiana establerta, però els apologistes de Hitler i els quintacolumnistes es queixen que no ha rebut un enterrament digne, amb tots els honors cermimonials nazis, i que ha estat tirat a la part posterior d'un camió de l'Exèrcit Roig. També hi ha preocupació sobre la legitimitat de l'operació militar que ha portat a la mort de Hitler. Els pacifistes volen saber perquè el Fuhrer no ha estat capturat viu i portat a judici. Alguns han afirmat que la invasió d'Alemanya era una clara violació del dret internacional. El mariscal Pétain, excap del govern de Vichy, ha protestat perquè les forces aliades havien violat il.legalment les fronteres de França, Itàlia, Alemanya i Holanda en la seva recerca durant sis anys del líder nazi.
Un destacat advocat dels drets humans, Sir Geoffrey Robertson QC, ha dit que la mort d'Hitler marca un precedent perillós. Si un dèspota notori, amb la sang de milions de persones a la seves mans, pot ser "assassinat" envoltat de la seva família en el comfort del seu propi búnquer, aleshores ningú pot estar segur. Sir Oswald Mosley, líder de la Unió Britànica de Feixistes, ha qualificat la mort de Hitler de "crim de guerra". Ha dit que les proves contra el Führer, incloent l'assassinat de sis milions de persones en camps de concentració, ha estat fabricat per la "conspiració internacional sionista" com a part de la seva campanya per establir un estat jueu a Palestina. Sir Oswald també ha al.legat que els bombardejos de Coventry, Plymouth i l'East End de Londres els va organitzar l'MI5 per ordre de Churchill, simplement per desacreditar els nazis. Per tot plegat, ha fet una crida a tots els nazis perquè es revengin.
Mentrestant, els Aliats tenen previst demolir el búnquer del Fuhrer per evitar que es converteixi en una atracció turística i un santuari. També s'han fet preguntes sobre la font d'informació que va conduir als aliats a l'amagatall de Hitler. (...) En qualsevol cas, queda clar que la mort de Herr Hitler ha donat a Mr. Churchill un impuls considerable en les enquestes d'opinió i està en camí d'una victòria aclaparadora en les properes eleccions generals.
Kaplan: «Ha estat un acte legítim de revenja"
Robert D. Kaplan:
—¿Qué significado tiene para EE.UU. la aniquilación de Bin Laden?
—En un sentido simbólico y filosófico permite a EE.UU. poner fin a la guerra contra el terrorismo. Esto no significa que no vaya a haber nuevos riesgos o atentados, pero desde el punto de vista estructural la política exterior de EE.UU. puede centrarse ahora en cuestiones más tradicionales: China, progresos en Oriente Próximo, Rusia,...
—La que parecía misión imposible fue alcanzada por un presidente del Partido Demócrata...
—Sí. Eso ayudará mucho a la democracia en EE.UU., es importante que lo entiendan en Europa. Desde las elecciones de 1972 —con el candidato George McGovern— el Partido Demócrata ha sido considerado como un partido sospechosamente débil en cuestiones de seguridad nacional. Ahora, por primera vez en décadas, el Partido Demócrata aparece como una formación fuerte en seguridad nacional. Este hecho permitirá que ambos partidos tengan enfoques más profundos en política exterior.
—¿Entiende el debate suscitado en Europa sobre los derechos no respetados a Bin Laden?
—No lo entiendo. Creo que nadie debería llorar su muerte. Ha sido un acto legítimo de venganza. Bin Laden era un asesino de masas, mató a miles de personas. Además el equipo de los Navy Seals que llevó a cabo la misión, en la que las decisiones se toman en cuestión de segundos, no tenía ni idea de si Osama Bin Laden tenía un cinturón bomba u otras armas consigo.
—¿Fue una acción militar de guerra o una ejecución en otro país?
—Fue una acción militar legítima contra un enemigo de EE.UU. que perpetró la mayor matanza de civiles.
dijous, 5 de maig del 2011
"La CIA el crea, la CIA el mata"
La mort de Bin Laden ha acabat amb líder d'Al Qaeda però no amb les fantasies conspiranoiques sobre el terrorista saudita. El més greu, però, és que aquestes fantasies -"La CIA el crea, la CIA el mata"- se les creguin persones aparentment solvents i que les diguin i expliquin com si fossin veritats incontrovertibles. Antoine Vitkine, a "Les Nouveaux imposteurs", els dónava una resposta.
Bin Laden seria un exagent de la CIA, o, en versió més edulcordada, un líder creat i finançat pels Estats Units que al final es torna contra els seus amos. Aquestes idees les he sentit repetir una i mil vegades i no només en els rengles de l'extrema esquerra. Ja no és només una teoria de la conspiració, és un clixé, una veritat establerta, escrita en marbre.
Aquesta fantasia s'ha de respondre amb els fets. Bin Laden mai va ser, ni de prop ni de lluny, un agent de la CIA. Els Estats Units no li van donar diners perquè reclutés voluntaris àrabs per a la jihad contra els soviètics. Considerablement ric, en aquells moments no ho necessitava. Pel contrari, era ell qui recaptava diners i oferia suport logísitc als mujahidins i els jihadistes. Pel que fa als seus vincles amb la CIA, el cert és que són molt tènues.: Ben Laden treballava amb el príncep Turki bin Faisal, cap d'intel·ligència de l'Aràbia Saudita, que el va posar en contacte amb l'ISI, la intel.ligència pakistanesa.
Per descomptat, hi ha una convergència momentània d'interessos entre Bin Laden i lels EUA: expulsar els soviètics de l'Afganistan. Per descomptat, agents nord-americans es van poder reunir amb Bin Laden, ja que la feina de tots els agents secrets és fer contactes amb tot tipus de persones, i intentar utilitzar-les. Però no van ser els Estats Units els que van crear Bin Laden, sinó que es va crear a ell mateix. (...)
La teoria de la conspiració es nodreix d'una gran mandra intel.lectual, d'una crassa ignorància de la història i del funcionament de la política internacional. Fins i tot, si Bin Laden hagués cooperat amb els nord-americans a l'Afganistan a principis del 1980, la convergència temporal d'interessos no es traduiria en una visió comuna, i, en qualsevol cas, els nord-americans no tenien cap raó per creure que quinze anys després Ossama bin Laden atacaria els Estats Units. La ceguesa de la CIA respecte l'islam radical no amaga cap secret. La història n'és plena d'aquests errors però també d'atzars, canvis sobstats, incerteses. La història no està predeterminada com creuen els conspiracionistes, sords i cecs a la intel.ligència, només preocupats per demostrar que els Estats Units son necessàriament culpables del naixement de Bin Laden perquè són culpables dels bombardejos a l'Iraq.
A què vé tot aquest jesuïtisme, on es pregunta verinosament "a qui beneficia el crim", i tota aquesta enrevessada sofisticació per dir que Bin Laden va ser "creat" pels Estats Units? Tot plegat per dir què? Que el mal absolut son els Estats Units. Així que el terrorisme, Bin Laden, els islamistes, son, en el millor dels casos, un producte derivat de l'opressió d'Amèrica i, en el pitjor, una creació dels Estats Units, si no és pura invenció.
dimarts, 3 de maig del 2011
La tercera (i probablement definitiva) derrota d'Al Qaeda
La majoria d'analistes prediuen que la mort d'Ossama bin Laden no comportarà la desaparició d'Al Qaeda. Segons expliquen, sobreviurà perquè no es tracta d'una organització clandestina tradicional, que quan s'escapça deixa d'existir, sinó d'una invisible comunió de voluntats disposades a l'acció al marge de qualsevol centralització política. Però sobre tot, argumenten, Al Qaeda continuarà existint, d'una forma o altra, perquè continuen existint les causes que la van engendrar: la misèria i l'opressió de milions de musulmans.
Que la violència política organitzada és el fruit de la pobresa i de la injustícia és un dels tòpics més persistents de l'imaginari socialdemòcrata. En realitat, la violència organitzada, provingui del poder o de l'oposició, és gairebé sempre el resultat d'un projecte ideològic que la justifica i li dóna coartada moral. Aquesta violència política podrà ser legítima o no, legal i il·legal, però poques vegades és només el fruit espontani d'un impuls irracional.
La demostració més palesa de la falsedat d'aquesta equació ens l'acaben de donar els milions de ciutadans àrabs que, des de Tunísia a Egipte, s'han rebelat pacíficament i democràtica contra la misèria i l'opressió. Cap de les revoltes, reixides o encara incertes, ha optat pel terrorisme, pels atemptats suïcides o el segrest i la decapitació d'ostatges per aconseguir els seus objectius.
Pel contrari, han estat precisament les revoltes pacífiques, reclamant llibertat per poder viure i conviure amb dignitat, les que han estès l'acta de defunció d'Al Qaeda i del terrorisme islamista, i amb ells la del romanticisme de la violència revolucionària que encara batega en el cor de tants analistes, professors o periodistes progressistes, europeus i nord-americans.
Al Qaeda va ser derrotada militarment a l'Irak el 2008; políticament, el 15 de gener a la plaça Tahrir d'El Caire i corporativament el diumenge 1 de maig amb la mort física d'Ossama bin Laden. Dífícilment, podrà sobreviure a aquestes derrotes. El model organitzatiu és important, però no tan decisiu com sembla. Quan més fanàtic és un moviment més important és el culte al líder, a qui es considera com un déu. I sense un déu viu o ressuscitat no hi ha església. És el cas, a escala local, del líder de Sendero Luminoso, Abimael Guzmán, o del cap del Partit del Treballadors del Kurdistan, Abdullah Öcalan.
Certament, d'entre la munió d'orfes que ha deixat Bin Laden n'hi ha que intentaran la revenja. Durant un temps, difícil de predir, encara poden fer molt de mal, i fins i tot poden desestabilitzar l'Afganistan o el Pakistan. El cant del signe pot ser tràgic, però és el preludi de la fi. Si Al Qaeda existia com amença global és perquè existia Bin Laden. Sense ell, els grups jihadistes són poca cosa més que amenaces locals. Difícilment Al Qaeda sobreviurà al fantasma d'Ossam bin Laden.
Que la violència política organitzada és el fruit de la pobresa i de la injustícia és un dels tòpics més persistents de l'imaginari socialdemòcrata. En realitat, la violència organitzada, provingui del poder o de l'oposició, és gairebé sempre el resultat d'un projecte ideològic que la justifica i li dóna coartada moral. Aquesta violència política podrà ser legítima o no, legal i il·legal, però poques vegades és només el fruit espontani d'un impuls irracional.
La demostració més palesa de la falsedat d'aquesta equació ens l'acaben de donar els milions de ciutadans àrabs que, des de Tunísia a Egipte, s'han rebelat pacíficament i democràtica contra la misèria i l'opressió. Cap de les revoltes, reixides o encara incertes, ha optat pel terrorisme, pels atemptats suïcides o el segrest i la decapitació d'ostatges per aconseguir els seus objectius.
Pel contrari, han estat precisament les revoltes pacífiques, reclamant llibertat per poder viure i conviure amb dignitat, les que han estès l'acta de defunció d'Al Qaeda i del terrorisme islamista, i amb ells la del romanticisme de la violència revolucionària que encara batega en el cor de tants analistes, professors o periodistes progressistes, europeus i nord-americans.
Al Qaeda va ser derrotada militarment a l'Irak el 2008; políticament, el 15 de gener a la plaça Tahrir d'El Caire i corporativament el diumenge 1 de maig amb la mort física d'Ossama bin Laden. Dífícilment, podrà sobreviure a aquestes derrotes. El model organitzatiu és important, però no tan decisiu com sembla. Quan més fanàtic és un moviment més important és el culte al líder, a qui es considera com un déu. I sense un déu viu o ressuscitat no hi ha església. És el cas, a escala local, del líder de Sendero Luminoso, Abimael Guzmán, o del cap del Partit del Treballadors del Kurdistan, Abdullah Öcalan.
Certament, d'entre la munió d'orfes que ha deixat Bin Laden n'hi ha que intentaran la revenja. Durant un temps, difícil de predir, encara poden fer molt de mal, i fins i tot poden desestabilitzar l'Afganistan o el Pakistan. El cant del signe pot ser tràgic, però és el preludi de la fi. Si Al Qaeda existia com amença global és perquè existia Bin Laden. Sense ell, els grups jihadistes són poca cosa més que amenaces locals. Difícilment Al Qaeda sobreviurà al fantasma d'Ossam bin Laden.
L'independentisme francòfon del Canadà s'esfondra
L'independentisme francòfon ha desaparegut pràcticament del mapa polític del Canadà. Una mica més i esdevé extraparlamentari. A les eleccions d'ahir, en les que el Partit Conservador del primer ministre, Stephen Harper, va aconseguir la majoria absoluta, el Bloc Quebequès ha passat de tenir 49 diputats a tenir-ne només 4. La patacada ha estat tan monumental que fins i tot el líder del Bloc, Gilles Duceppe, ha perdut el seu escó. Els grans vencedors a la província francòfona han estat els socialdemòcrates del Nou Partit Democràtic.
Amb 14,3 milions de vots escrutats dels 24 milions del cens, l'Oficina Electoral del Canadà ha publicat que el Partit Conservador compte amb el 39,7% dels vots el que li atorgarà 166 dels 308 diputats de la Cambra dels Comuns del Parlament canadenc. El socialdemòcrata Nou Partit Democràtic (NPD) ha aconseguit un total de 102 diputats (en tenien 37), el Partit Liberal 35 (en tenien 70), el Bloc Quebequès 4 (en tenia 49) i el Partit Verd, un.
Amb 14,3 milions de vots escrutats dels 24 milions del cens, l'Oficina Electoral del Canadà ha publicat que el Partit Conservador compte amb el 39,7% dels vots el que li atorgarà 166 dels 308 diputats de la Cambra dels Comuns del Parlament canadenc. El socialdemòcrata Nou Partit Democràtic (NPD) ha aconseguit un total de 102 diputats (en tenien 37), el Partit Liberal 35 (en tenien 70), el Bloc Quebequès 4 (en tenia 49) i el Partit Verd, un.
Kill i no murder
Arcadi Espada:
En cualquier caso, y como cualquier día grande, hay que celebrar aquí la coincidencia entre los reaccionarios de la derecha y de la izquierda.
Todos, por una razón u otra, incapaces de enfrentarse al arduo problema de la justificación moral del asesinato. Negando la mayor para sufrir el menor de los daños.
Bin Laden, un titella dels serveis secrets pakistanesos
Guy Sorman:
Ben Laden est mort deux fois : il a été tué par des soldats américains, au Pakistan, le 1er mai, mais l'avait déjà été, symboliquement, le 15 janvier au Caire.
Que nous avaient signifié alors les rebelles de la Place Tahrir ? La révolution égyptienne, comme la révolution tunisienne avant elle, annonçaient aux Arabes et au monde que, dans leur longue quête de la dignité et de la modernité, les Arabes ne souhaitaient pas restaurer le Califat, ni revenir à la Charia. Entre le retour au Temps du Prophète préconisé par Ben Laden, par la violence, et l'entrée dans le monde de la démocratie libérale, par le pacifisme, le 15 janvier, les Arabes avaient choisi. Tous les autres peuples musulmans, qui vivent encore en tyrannie, n'aspirent eux aussi qu'à cette "Fin de l'histoire" que leur paraît être la démocratie libérale.
Ben Laden, qui avait donc perdu la croisade pour l'avenir musulman, conservait une certaine utilité, locale, pour les militaires pakistanais : ceux qui le protégeaient. Le Pakistan, en effet, est un pays qui n'existe pas, mais une vague confédération de peuples à peine réunis par l'islam : un Pakistanais est avant tout un Sindhi, un Pendjabi, un Baloutche, ensuite musulman et, à la rigueur, citoyen du Pakistan. Le seuls vrais Pakistanais sont les militaires et les services secrets (généralement Pendjabi), dont la seule raison d'être est la guerre contre l'Inde, le frère ennemi séparé à la naissance, la Partition de 1949.
Sans Inde, plus de Pakistan et surtout plus d'armée pakistanaise. Celle-ci recourt à toutes les armes possibles, du nucléaire au soutien aux Talibans et au terrorisme. Ben Laden était capable de déclencher une attaque terroriste en Inde-même, où vivent plus de musulmans qu'au Pakistan : à plusieurs reprises, l'Inde a été déstabilisée par des attentats à caractère islamiste. Ben Laden, devenu un pion pakistanais, permettait aussi de tenir en échec l'armée américaine, en la clouant au sol en Afghanistan. Ben Laden était enfin une bombe à retardement dans les mains des Services secrets pakistanais. Dans l'hypothèse où les Etats-Unis se rapprocheraient trop de l'Inde, au détriment du Pakistan, il était possible d'activer le réseau Ben Laden : ce Ben Laden valait plusieurs bombes atomiques.
Le pion a été capturé, mais l'armée pakistanaise ne l'est pas : la partie continue.
Una predicció clavada
D'articles advertint dels greus problemes que podria provocar una moneda única en una comunitat de països amb economies i polítiques diferents i desiguals n'hi va haver molts, però el tsunami de l'eufòria europeísta ho va ofegar tot. Ara m'he topat amb un article publicat pel Financial Times el 20 de febrer del 1978 que prediu, fil per randa, la crisi que actualment està patint Espanya.
Suppose a country, which we arbitrarily call Spain, experiences a boom which is stronger than in the rest of the euro-area. As a result of the boom, output and prices grow faster in Spain than in the other euro-countries. This also leads to a real estate boom and a general asset inflation in Spain. Since the ECB looks at euro-wide data, it cannot do anything to restrain the booming conditions in Spain. In fact the existence of a monetary union is likely to intensify the asset inflation in Spain. Unhindered by exchange risk vast amounts of capital are attracted from the rest of the euro-area. Spanish banks that still dominate the Spanish markets, are pulled into the game and increase their lending. They are driven by the high rates of return produced by ever increasing Spanish asset prices, and by the fact that in a monetary union, they can borrow funds at the same interest rate as banks in Germany, France etc. After the boom comes the bust. Asset prices collapse, creating a crisis in the Spanish banking system.
dilluns, 2 de maig del 2011
Quant més s'acosta a Bush, millor és Obama
Al darrera de la mort d'Ossama bin Laden hi ha anys i panys d'investigacions dels serveis secrets nord-americans i d'altres països. No es tracta del resultat d'un canvi de política a la Casa Blanca, sinó de l'èxit d'haver mantingut la política anterior. De fet, l'operació que ha portat a la liquidació de Bin Laden es va iniciar l'any 2007, sota la presidència de Bush. Obama, que s'ha retirat de gairebé tots els fronts internacionals on els EUA estaven a primera línia, ha mantigut l'objectiu i les operacions per abatre el cap d'Al Qaeda. I a l'hora de la veritat, no li ha tremolat el pols. Decididament, quant més s'acosta a Bush, millor és Obama.
ADÉU I NO TORNIS
Altres 4 persones van morir, entre ells un fill adult del terrorista
Una dona va ser utilitzada per Osama com a "escut"
Obama va parlar amb Bush i Clinton abans d'anunciar-ho per TV
Una prova d'ADN confirma la mort d'Osama Bin Laden
Subscriure's a:
Comentaris (Atom)









